Anuario de pesca 2016
Capítulo 3: Especies
Principais lonxas
Vendas por zona
Evolución por zona
Principais especies en Kg
Principais especies en euros
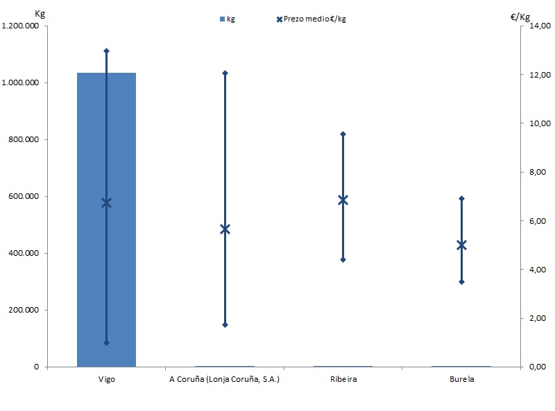
Principais lonxas con vendas de peixe espada
Nº días
kg
%
Euros
%
Euros/kg
Vigo
156
1.034.512
99,46%
6.969.687
99,53%
6,74
A Coruña (Lonja Coruña, S.A.)
20
3.827
0,37%
21.712
0,31%
5,67
Ribeira
7
967
0,09%
6.616
0,09%
6,84
Burela
15
787
0,08%
3.928
0,06%
4,99